Named Arrays in Excel

Excel allows you to apply names to arrays, which will make calculations on a series of data easier to understand as well.

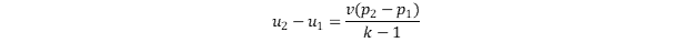
Worksheet 03y contains a similar internal energy calculation as we’ve seen the last few sections. Instead of calculating the internal energy for one final pressure, this worksheet is set up for calculations using a series of final pressures. For reference, the formula used for this calculation is:

First, add names to each of the input cells using the name box – V, P_1 and k for the volume, initial pressure and the constant k, respectively.

To assign a name to the array of final pressure values, select the entire range. Enter P_2 in the name box. This name won’t appear if you select a single cell in the range, only if you select the entire range.

To calculate the change in internal energy, we’ll use an array formula. Remember, for an array formula, you must first select all the output cells. Go to the formula bar and enter the formula:

=V*(P_2-P_1)/(k-1)

You’ll see that the entire range of values for the final pressure is selected when you type P_2. Note that you’ll get an error if you omit the asterisk.

Because it’s an array formula, use Ctrl-Shift-Enter to complete the formula. It will fill the energy column with values. You’ll now have an easy-to-read formula if you click any of the cells in the array.

Scroll to Top
You're almost there!
Complete... 50%
Please enter your name and email address below to receive a link to the toolkit.

You’ll also receive regular tips to help you master Excel for engineering.

We hate spam and promise to keep your email safe.

FREE ACCESS:

THE ENGINEER'S EXCEL TOOLKIT

By Charlie Young, P.E.

Take your engineering to the next level with advanced Excel skills.